Срочно!!!Помогите пожалуйста!!! Очень СРОЧНО!!!!
Пожалуйста, с подробным решением.
Заранее Вам спасибо!!!!
Приложения:

Ответы
Ответ дал:
2
Ответ:
В решении.
Объяснение:
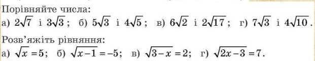
1. Сравнить выражения:
Внести множитель под корень и сравнить подкоренные выражения:
a) 2√7 = √4*7 = √28;
3√3 = √9*3 = √27;
2√7 > 3√3;
б) 5√3 = √25*3 = √75;
4√5 = √16*5 = √80;
5√3 < 4√5;
в) 6√2 = √36*2 = √72;
2√17 = √4*17 = √68;
6√2 > 2√17;
г) 7√3 = √49*3 = √147;
4√10 = √16*10 = √160;
7√3 < 4√10.
2. Решить уравнение.
Обе части уравнения возвести в квадрат и решить, как обычное уравнение.
а) √х = 5
(√х)² = (5)²
х = 25;
б) √х - 1 = -5
Нет решения (результат извлечения корня отрицательный).
в) √3 - х = 2
(√3 - х)² = (2)²
3 - х = 4
-х = 4 - 3
-х = 1
х = -1;
г) √2х - 3 = 7
(√2х - 3)² = (7)²
2х - 3 = 49
2х = 49 + 3
2х = 52
х = 26.
Tamara020971:
Zombynella, ОГРОМНЕЙШЕЕ ВАМ СПАСИБО!!!!!!
Вас заинтересует
2 года назад
2 года назад
2 года назад
8 лет назад
8 лет назад