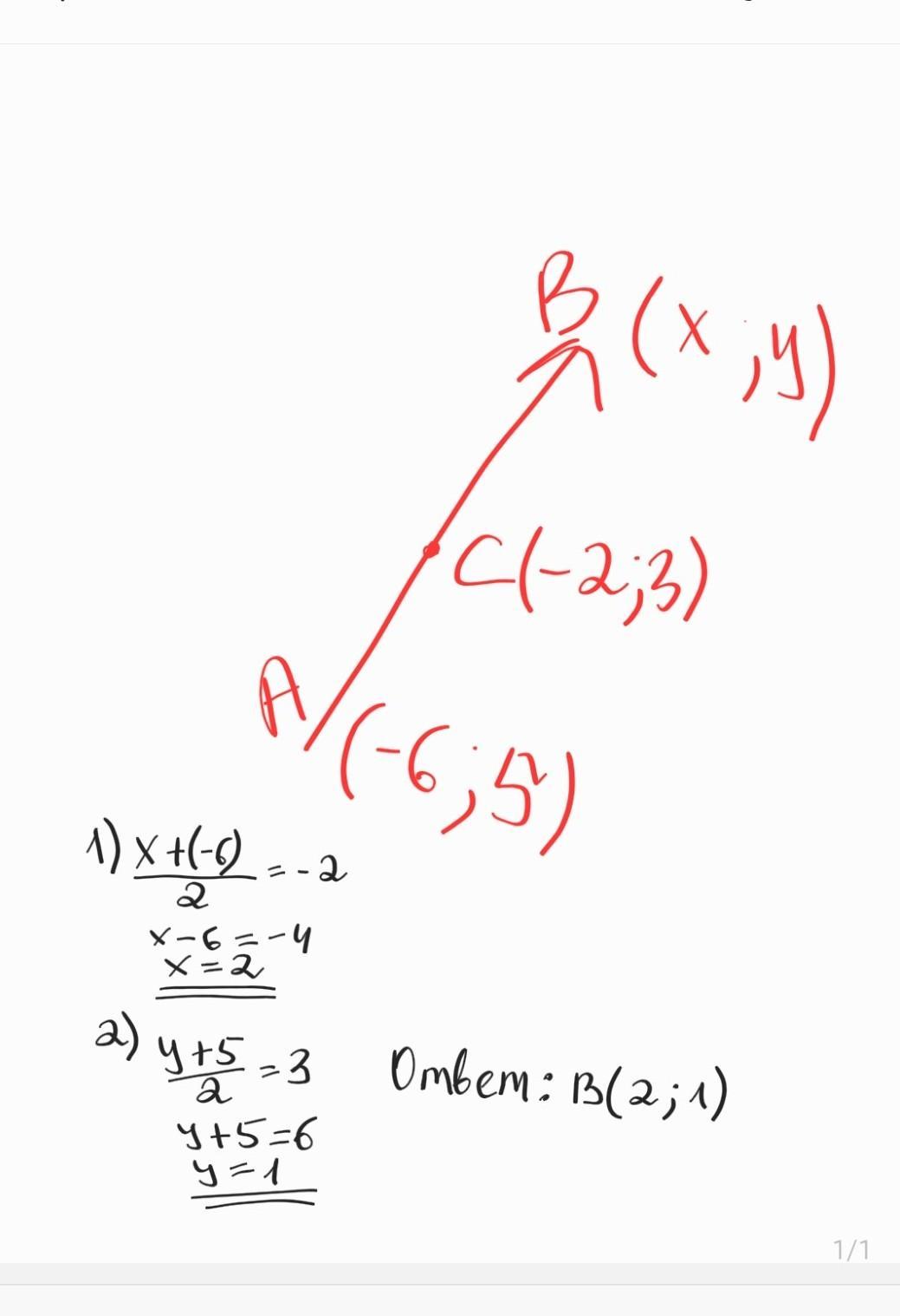
Точка C середина отрезка AB. Найдите координаты точки B если C (-2,3) и А(-6,5)
Аноним:
только ответ?
Ответы
Ответ дал:
8
Ответ:
B(2;1)
Объяснение:
См.файл ...........
Приложения:

Вас заинтересует
2 года назад
2 года назад
2 года назад
2 года назад
8 лет назад
8 лет назад
9 лет назад
9 лет назад