• Предмет: Математика
  • Автор: alalalalalla
  • Вопрос задан 3 года назад

Помогите пожалуйста)))))) ​

Приложения:

Ответы

Ответ дал: максир
0

Ответ:

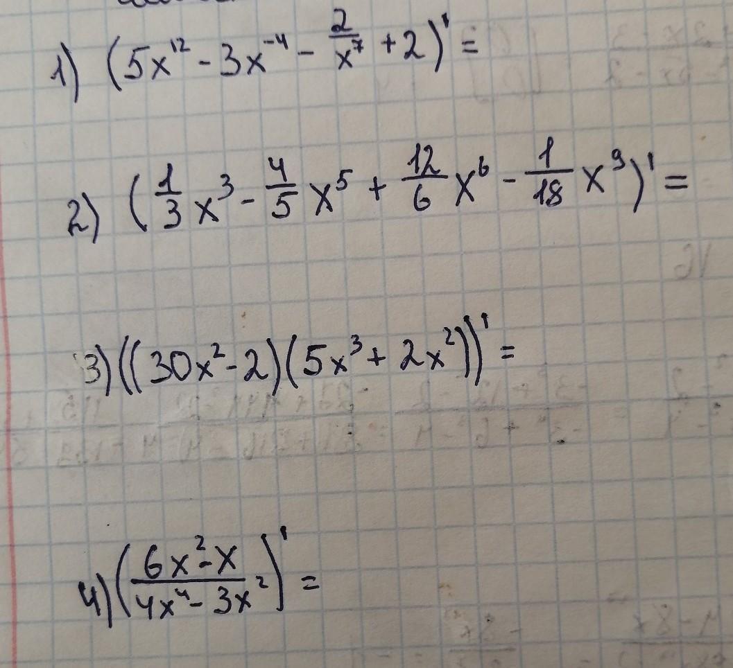
1)

  (5x^{12} -3x^{-4}- \frac{2}{x^{7} } +2)' = 5*12x^{11} -3*(-4x^{-5} )-(2*\frac{7x^{6} }{(x^{7})^{2}  } )+0 = 60x^{11} +12x^{-5} -(2*\frac{7x^{6} }{x^{14}  } ) = 60x^{11} +12x^{-5} -(2*\frac{7 }{x^{8}  } ) = 60x^{11} +12x^{-5} +\frac{14 }{x^{8}  }  = 60x^{11} +\frac{12}{x^{5} }  +\frac{14 }{x^{8}  }  = \frac{60x^{19}+12x^{3}+14  }{x^{8} }

2)

  (\frac{1}{3} x^{3} -\frac{4}{5} x^{5} +\frac{12}{6} x^{6} -\frac{1}{18} x^{9} )' =\frac{1}{3} *3x^{2}  -\frac{4}{5} *5x^{4} + \frac{12}{6} *6x^{5} -\frac{1}{18}*9x^{8}  =x^{2}  -4x^{4} + 2 *6x^{5} -\frac{1}{2} x^{8}  = x^{2}  -4x^{4} +12x^{5} -\frac{1}{2} x^{8}

3)

  ((30x^{2} -2)*(5x^{3} +2x^{2} ))' = (150x^{5}+60x^{4}-10x^{3}-4x^{2})'= 150*5x^{4}+60*4x^{3}  -10*3x^{2} -4*2x = 750x^{4} 240x^{3} -30x^{2} -8x

4)

  (\frac{6x^{2} -x}{4x^{4} -3x^{2} } )' = (\frac{x(6x-1)}{x(4x^{3}-3x) } )' = (\frac{6x-1}{4x^{3}-3x } )' = \frac{(6x-1)'(4x^{3}-3x)-(6x-1)(4x^{3}-3x)'}{(4x^{3}-3x)^{2} } =

\frac{6(4x^{3}-3x)-(6x-1)(4*3x^{2} -3) } {(4x^{3}-3x)^{2} } = \frac{24x^{3} -18x-(6x-1)(12x^{2} -3)}{(4x^{3}-3x ) ^{2} } =\frac{24x^{3}-18x-(72x^{3}+18x+12x^{2} +3)  }{(4x^{3}-3x )^{2} } = \frac{24x^{3}-18x-72x^{3}-18x-12x^{2} -3 }{(4x^{3}-3x )^{2} }  = \frac{-48x^{3}+12x^{2} -3 }{(4x^{3}-3x )^{2}}

Вас заинтересует