• Предмет: Математика
  • Автор: 14vgx2f9
  • Вопрос задан 3 года назад

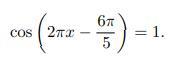
Решить уравнение
cos(2πx −6π/5)= 1

Приложения:

Ответы

Ответ дал: Аноним
4

Ответ:

Пошаговое объяснение:

Фото смотри

Приложения:

14vgx2f9: В ответ записать наибольшее целое решение
Аноним: Для иксов нет целых чисел, так как к целому числу n прибавляется дробное число 3/5. Сумма целого и дробного числа никогда не равна целому числу(за исключением когда дробь 1/1 или 0/1)
Аноним: жаль(
Вас заинтересует