• Предмет: Математика
  • Автор: bralre345621
  • Вопрос задан 3 года назад

НУЖНА ПОМОЩЬ!
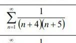
Нужно найти сумму числового ряда​

Приложения:

Ответы

Ответ дал: amanda2sempl
1

Представим n-ый член ряда аₙ следующим образом:  

аₙ = 1/((n+4)(n+5)) = A/(n+4) + B/(n+5) ⇒ 1/((n+4)(n+5)) =

(А(n+5) + В(n+4))/((n+4)(n+5)) ⇒  А(n+5) + В(n+4) = 1 ⇒ А = -В, 5А + 4В = 1 ⇒

В = -1, А = 1 ⇒ аₙ = 1/(n+4) - 1/(n+5). Распишем частичную сумму исходного ряда: Sₙ = a₁ + a₂ + a₃ + ... + aₙ = 1/5 - 1/6 + 1/6 - 1/7 + 1/7 - 1/8 + 1/8 + ... -1/(n+4) + 1/(n+4) - 1/(n-5) = 1/5 - 1/(n-5). Сумма S заданного числового ряда определяется как предел частичной суммы ряда при n → ∞, то есть

S = \lim_{n \to \infty} S_n = lim(n → ∞) [1/5 - 1/(n-5)] = 1/5, так как lim(n → ∞)[1/(n-5)] = 0.

Ответ: сумма ряда равна 1/5

Вас заинтересует