• Предмет: Алгебра
  • Автор: sooonyaaaas
  • Вопрос задан 3 года назад

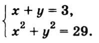
Решить систему уравнений методом подстановки

Приложения:

Ответы

Ответ дал: dauren190307
1

Ответ:

Объяснение:

\left \{ {{x + y=3} \atop {x^{2} +y^{2} =29 }} \right.

x = 3 - y

--------------

9 -6y+y^{2}+ y^{2} = 29

9 - 6y +2y^{2} = 29

2y^{2} - 6y + 9 = 29

2y^{2} - 6y + 9 - 29 = 0

2y^{2} - 6y - 20 = 0

2*(y^{2} - 3y -10) = 0

2*(y^{2} + 2y - 5y -10) = 0

2*(y*(y +2) - 5*( y +2)) = 0

2*((y-5)*(y+2)) = 0

y - 5 = 0 и y +2 = 0

y = 5       и        y = - 2

x + 5 = 3      x - 2 = 3    

x = - 2           x = 5


sooonyaaaas: спасибо!
dauren190307: незачто)
Вас заинтересует