Ответы
Ответ дал:
1
Ответ:
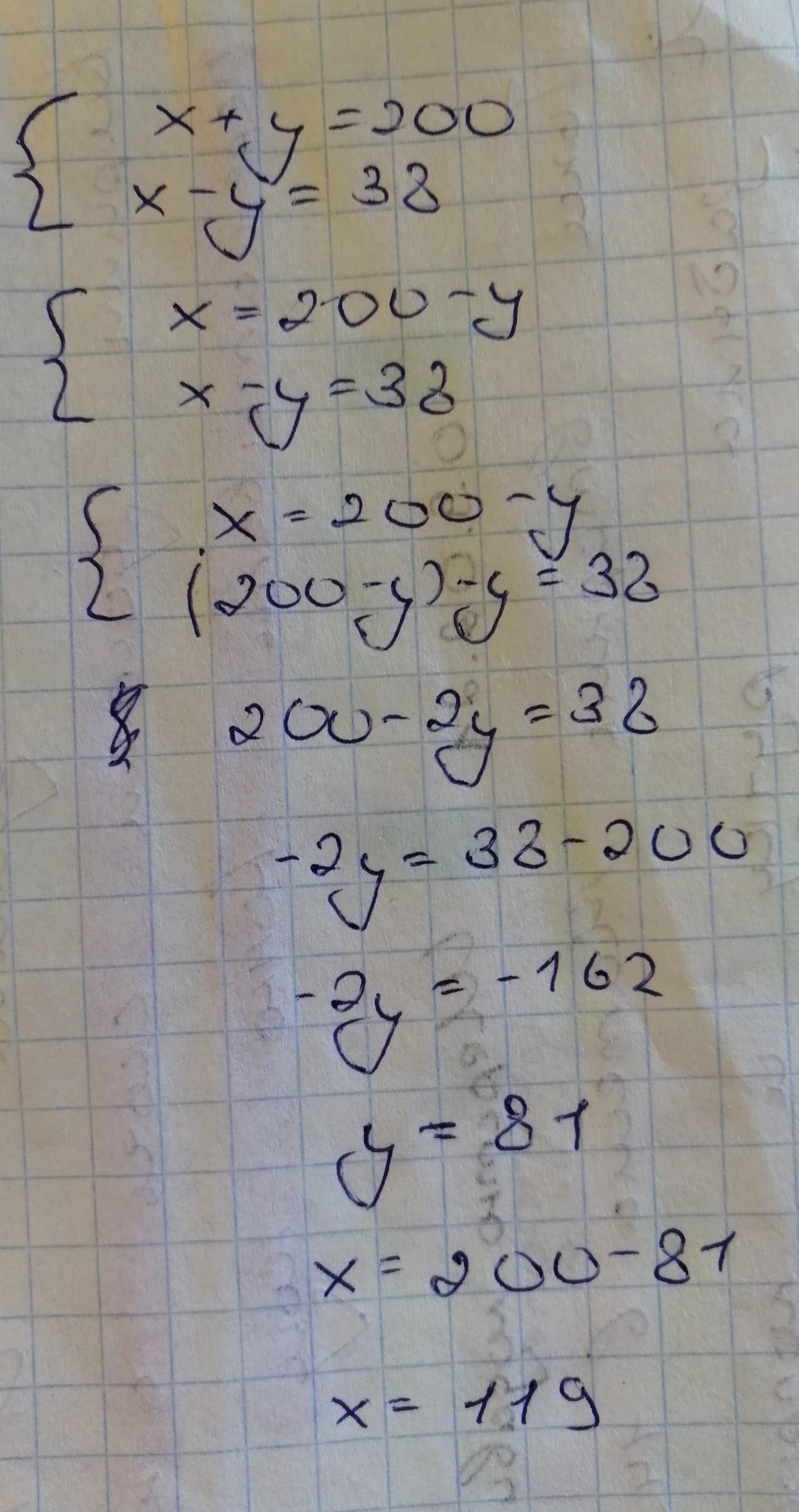
1. y=81 x=119 2.y=11 x=17 3.y=5,7 x=3,5
Объяснение:
Смотрите фото
Приложения:



delendikdaria:
а это какой номер
Вас заинтересует
2 года назад
2 года назад
2 года назад
2 года назад
8 лет назад
8 лет назад