• Предмет: Математика
  • Автор: lolipopworld9586
  • Вопрос задан 3 года назад

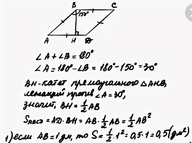
Знайти площу ромба з тупим кутом 150°, якщо його сто­рона дорівнює 1 дм.

Ответы

Ответ дал: mulama44444
9

УДАЧИ!!!!!!!!!!!!!!!!!!!!!

Приложения:

lolipopworld9586: не поможешь еще с одним заданием у меня в профиле?
mulama44444: какое?
lolipopworld9586: Сторони паралелограма дорівнюють а і b, а висота, про­ведена до сторони а, дорівнює h. Знайти висоту, проведену до сторони b, якщо
а = 6 см, b = 3,6 см, h = 2,4см.
lolipopworld9586: точно такое же есть в профиле
mulama44444: Прости, не получилось :'(
lolipopworld9586: эхх ну ничего не поделаешь
lolipopworld9586: все равно спасибо
Вас заинтересует