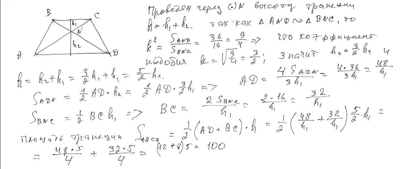
Диагонали АС и BD трапеции ABCD пересекаются в точке N. Площади треугольников AND и BNC равны соответственно 36 и 16. Найдите площади трапеции.
Ответы
Ответ дал:
3
Ответ: 100
Объяснение:
Приложения:

Вас заинтересует
2 года назад
2 года назад
2 года назад
2 года назад
8 лет назад
8 лет назад