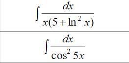
Неопределенный интеграл. 2 задачи помогите решить у меня не получается
дальнейшая информация на фото
Приложения:

Ответы
Ответ дал:
1
Ответ:
2.
Аноним:
помогите пожалуйста
Вас заинтересует
2 года назад
8 лет назад
8 лет назад
9 лет назад