• Предмет: Геометрия
  • Автор: wannadiesobadlyrn
  • Вопрос задан 3 года назад

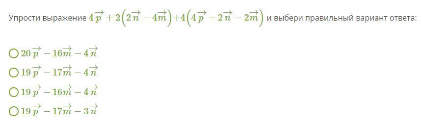
упростить выражение на фото

Приложения:

Ответы

Ответ дал: brain7stew
0

подходит первый вариант

раскрываем скобки

4p+4n-8m+16p-8n-8m

сокращаем

20p-16m-4n

Вас заинтересует