• Предмет: Информатика
  • Автор: dima1zayats023
  • Вопрос задан 3 года назад

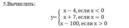
Составить программу на Pascal (на базе 9го класса)
(картинка прикреплена)

Приложения:

Ответы

Ответ дал: vassiliyapopov
1

Ответ:

var

   x, y: integer;

begin

   write('Введите х=');

   readln(x);

   if x < 0 then

       y := x - 4

   else

       if x = 0 then

           y := x + 7

       else

           y := x - 100;

   writeln('Ответ: y=', y);

end.

Объяснение:

Вас заинтересует