• Предмет: Алгебра
  • Автор: Itakeyourquenn
  • Вопрос задан 3 года назад

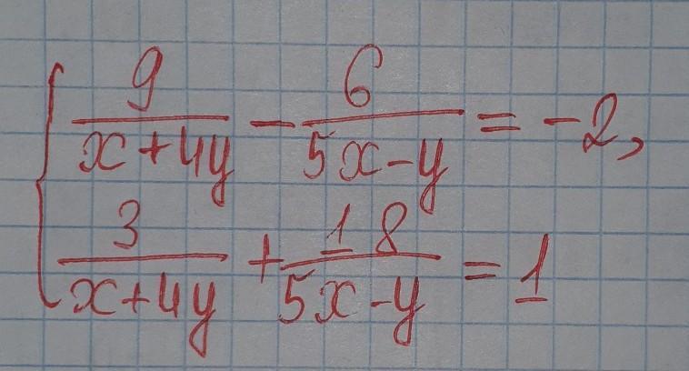
Решите методом сложения.​

Приложения:

Ответы

Ответ дал: NNNLLL54
0

Ответ:

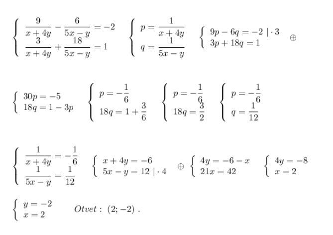
\left\{\begin{array}{l}\dfrac{9}{x+4y}-\dfrac{6}{5x-y}=-2\\\dfrac{3}{x+4y}+\dfrac{18}{5x-y}=1\end{array}\right\ \ \left\{\begin{array}{l}p=\dfrac{1}{x+4y}\\q=\dfrac{1}{5x-y}\end{array}\right\ \ \left\{\begin{array}{l}9p-6q=-2\ |\cdot 3\\3p+18q=1\end{array}\right\ \oplus

\left\{\begin{array}{l}30p=-5\\18q=1-3p\end{array}\right\ \ \left\{\begin{array}{l}p=-\dfrac{1}{6}\\18q=1+\dfrac{3}{6}\end{array}\right\ \ \left\{\begin{array}{l}p=-\dfrac{1}{6}\\18q=\dfrac{3}{2}\end{array}\right\ \ \left\{\begin{array}{l}p=-\dfrac{1}{6}\\q=\dfrac{1}{12}\end{array}\right

\left\{\begin{array}{l}\dfrac{1}{x+4y}=-\dfrac{1}{6}\\\dfrac{1}{5x-y}=\dfrac{1}{12} \end{array}\right\ \ \left\{\begin{array}{l}x+4y=-6\\5x-y=12\ |\cdot 4\end{array}\right\ \oplus\  \left\{\begin{array}{l}4y=-6-x\\21x=42\end{array}\right\ \ \left\{\begin{array}{l}4y=-8\\x=2\end{array}\right\\\\\\\left\{\begin{array}{l}y=-2\\x=2\end{array}\right\ \ \ \ \ Otvet:\ (2;-2)\ .

Приложения:

NNNLLL54: А если тебе не надо писать сначала замену, то чего трудного? Пиши в решении вместо p и q дроби, которые я указала, и всё ! Соображать надо хоть что-нибудь!
NNNLLL54: нужно отталкиваться от того, как делать более РАЦИОНАЛЬНО !
NNNLLL54: причём, твой метод сложения ПРИМЕНЁН !
Itakeyourquenn: ВМЕСТЕ С ЗАМЕНОЙ!
Itakeyourquenn: Идите далеко-далеко раз нормально отвечать на вопросы не умеете.
NNNLLL54: Ну и что, что с заменой ? В условии не сказано, что не надо метод замены применять ... Всё надо указывать в условии....
NNNLLL54: Это ты невоспитанное хамло вместо спасибо за решение гадости говоришь, даже не понимая ничего в математике...
Itakeyourquenn: Во-первых, вы, а во-вторых, идите уже, "магистр".
NNNLLL54: Вы говорят воспитанным людям, а тебя родители не умудрились воспитать, наверное сами такие
Itakeyourquenn: Взаимно.
Вас заинтересует