• Предмет: Алгебра
  • Автор: Аноним
  • Вопрос задан 3 года назад

Помогите пожалуйста,!!! ​

Приложения:

Ответы

Ответ дал: Miroslava227
0

Ответ:

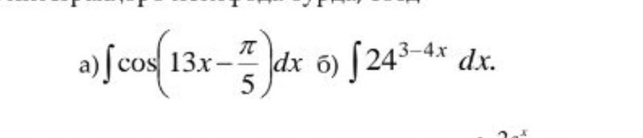
а)

\int\limits \cos(13x -  \frac{\pi}{5} ) dx =  \frac{1}{13} \int\limits \cos(13 -  \frac{\pi}{5} ) d(13x) =  \\  =  \frac{1}{13} \int\limits \cos(13 -  \frac{\pi}{5} ) d(13x -  \frac{ \pi }{5} ) =  \frac{1}{13}  \sin(13 -  \frac{\pi}{5} ) +  C

б)

\int\limits {24}^{3 - 4x} dx =  -  \frac{1}{4} \int\limits {24}^{3 - 4x} d( - 4x) =  \\  =  -  \frac{1}{4} \int\limits {24}^{3 - 4x} d(3 - 4x) =  -  \frac{ {24}^{3 - 4x} }{ 4 ln(24) }  + C


Аноним: еще добавил вопрос
Аноним: посмотрите пожалуйста
Вас заинтересует