• Предмет: Алгебра
  • Автор: nurahunovarufina518
  • Вопрос задан 3 года назад

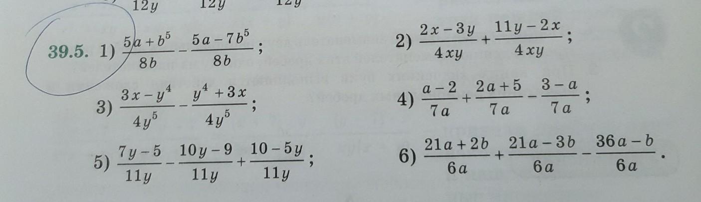
ПОЖАЛУЙСТА ПОМОГИТЕ ЭТО СРОЧНО!!!​

Приложения:

Ответы

Ответ дал: alesyaperova
0

Ответ:

1) \frac{(5a +  {b}^{5}) - (5a - 7 {b}^{5})  }{8b}  =  \frac{5a +  {b}^{5}  - 5a + 7 {b}^{5} }{8b}  =  \frac{ {8b}^{5} }{8b}  =  {b}^{4}


nurahunovarufina518: спасибо, а можешь с остальными помочь?
alesyaperova: долго слишком решать
Вас заинтересует