• Предмет: Физика
  • Автор: kriklivskaarina
  • Вопрос задан 3 года назад

СРОЧНО!!!
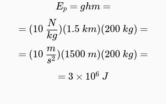
Повітряна куля масою 200кг піднялася на висоту 1,5км. Відносно землі її потенціальна енергія дорівнює...​


dudkomaksim554: пожалуйста сделай самым лучшим ответом
dudkomaksim554: что я тебе написал ответ. Мне это нужно пожалуйста

Ответы

Ответ дал: dudkomaksim554
24

надеюсь что помог тебе с данной задачей

Приложения:
Вас заинтересует