• Предмет: Геометрия
  • Автор: stas199811
  • Вопрос задан 11 лет назад

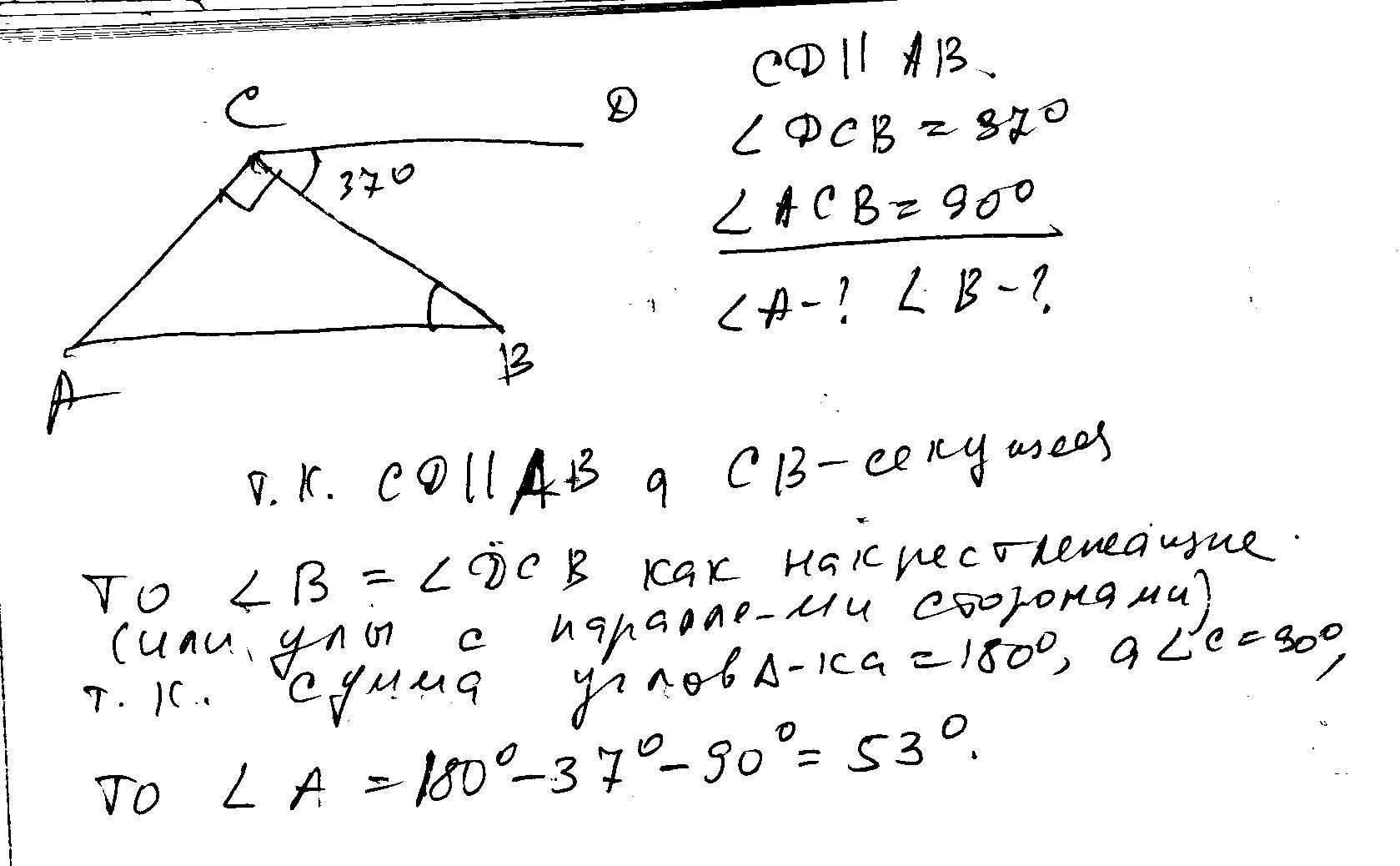
Через вершину прямого угла С треугольника АВС проведена прямая СD, параллельная стороне АВ. Найдите углы А и В трегольника, если угл DCB=37*

Ответы

Ответ дал: ужнеужели
0
решение в скане..................
Приложения:
Вас заинтересует