• Предмет: Алгебра
  • Автор: Alex5077
  • Вопрос задан 3 года назад

Решите систему уравнений

Приложения:

Ответы

Ответ дал: VladyslavBaranov
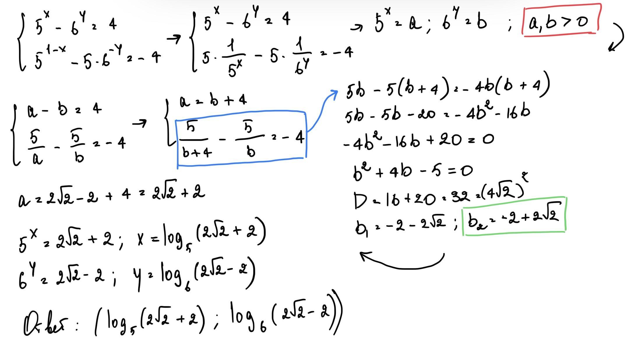
1

Ответ:

Решение на фото внизу

Объяснение:

Приложения:

Alex5077: друг у тебя ошибка в дискриминанте ошибка 16+20=36
VladyslavBaranov: Да, заметил
VladyslavBaranov: D = 36
b = 1; a = 5
5^x = 5; x = 1
6^y = 1; y = 0
Ответ: (1; 0)
Вас заинтересует