• Предмет: Алгебра
  • Автор: mamleeva357
  • Вопрос задан 3 года назад

Ребят, помогите вычислить интеграл, пожалуйста.
Дам 20 баллов.

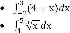
Приложения:

Ответы

Ответ дал: Miroslava227
1

Ответ:

\int\limits^{ 3} _ { - 2}(4 + x)dx = (4x +  \frac{ {x}^{2} }{2} )|^{ 3} _ { - 2} =  \\  = 12 +  \frac{9}{2}  - ( - 8 + 2) = 12 + 4.5 + 6 = 22.5

\int\limits^{ 5 } _ {1} \sqrt[3]{x}dx =  \int\limits^{ 5 } _ {1}  {x}^{ \frac{1}{3} } dx =  \frac{ {x}^{ \frac{4}{3} } }{ \frac{4}{3} } |^{ 5 } _ {1} =  \frac{3}{4}x \sqrt[3]{x}  |^{ 5 } _ {1} =  \\  =  \frac{3}{4} (5 \sqrt[3]{5}  - 1) =  \frac{15 \sqrt[3]{5} - 3 }{4}


mamleeva357: Спасибо, Солнышко! Я так тебе благодарна!
mamleeva357: У меня там есть еще несколько заданий по алгебре, буду рада, если поможешь)
Вас заинтересует