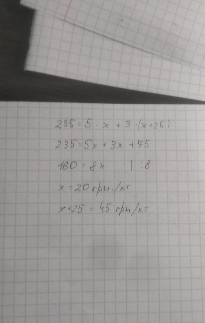
Господиня витратила 235грн за 5 кг яблук і 3 кг груш.Яка ціна кілограм яблука дешевші за груші на 25грн
Как записать умову
Ответы
Ответ дал:
0
Пошаговое объяснение:
Аааааааааааааааааааааааа
Приложения:

Вас заинтересует
2 года назад
2 года назад
2 года назад
8 лет назад
8 лет назад
9 лет назад