• Предмет: Алгебра
  • Автор: please321123321
  • Вопрос задан 3 года назад

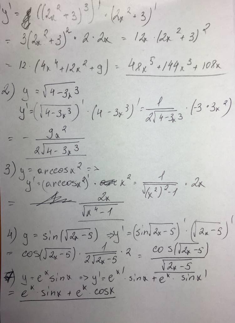
Нужно найти первую производную, пожалуйста нужен полный ответ

Приложения:

Holtzmann69: Ту, которая (2x^2 + 3)^3?
please321123321: нет, надо сделать все, но находить только первую производную, вторую не нужно
Holtzmann69: Окей

Ответы

Ответ дал: Holtzmann69
1

Ответ:

Вот.

Объяснение:

Извини, два я не разглядел :(

Приложения:

please321123321: блин, можешь пожалуйста решить 4 и 5 тоже? 5) y= ln cos²x 6) y= e^ctg√x в шестом после e все в степени
please321123321: 5 и 6 то есть
please321123321: пожалуйста
Вас заинтересует