СРОЧНО 75 БАЛОВ
Умоляю помогите сам не могу решить линейное уравнение способом сложения желательно с объяснением 1) 3х-у=1 и 3х+8у=19
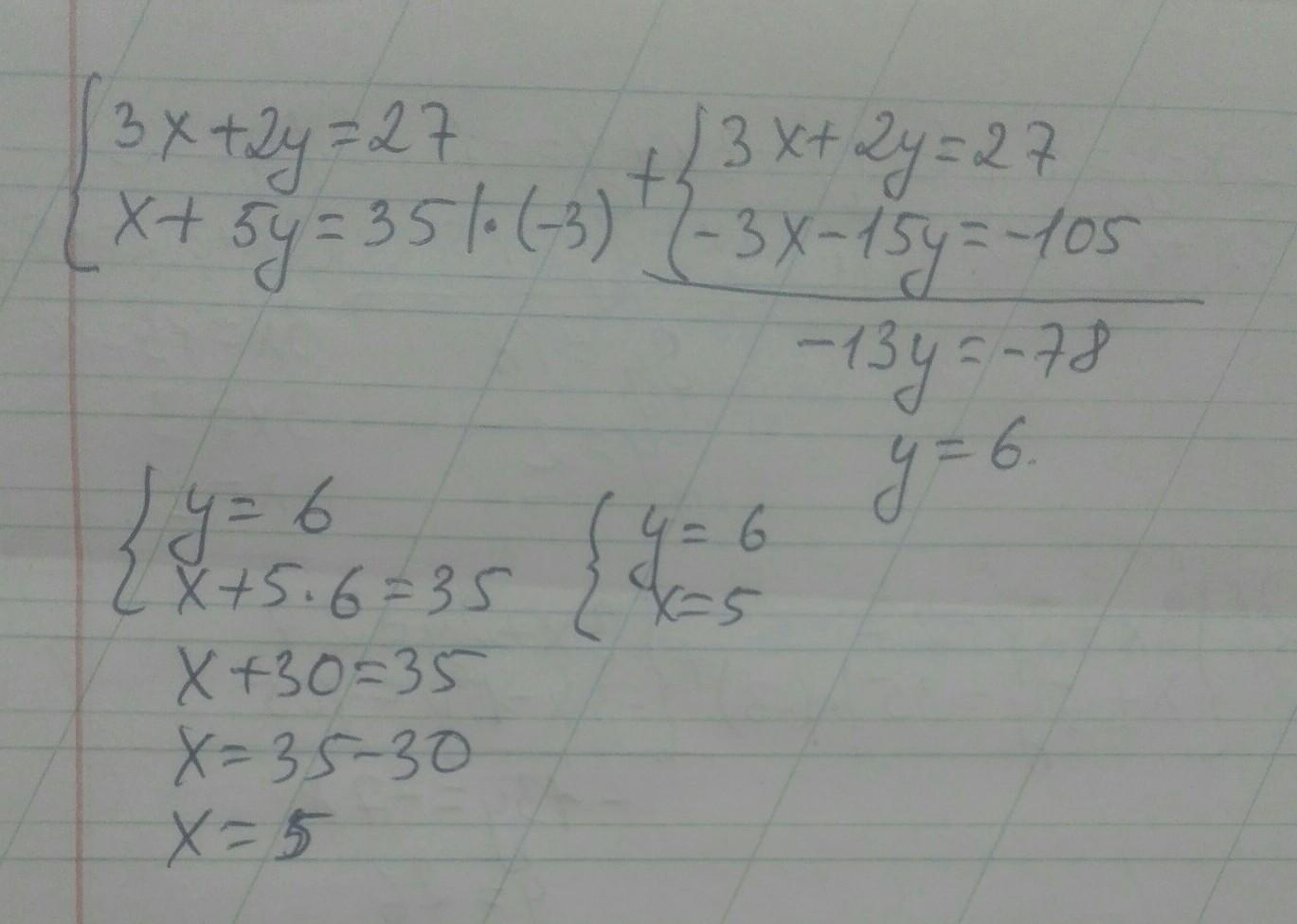
2) 3х+2у=27 и х+5у=35 |•3
Пожалуйста помогите
s1051966:
не нужна мне твоя благодарность, он решил калькулятором один пример , а я два за спс
Ответы
Ответ дал:
1
Ответ дал:
2
Ответ:
линейное уравнение способом сложения желательно с объяснением 1) 3х-у=1 и 3х+8у=19
2) 3х+2у=27 и х+5у=35 |•3
Приложения:


Вас заинтересует
2 года назад
2 года назад
2 года назад
9 лет назад