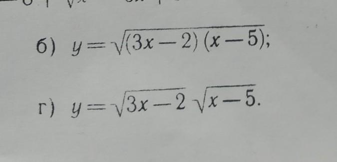
ПОМОГИТЕ ПОЖАЛУЙСТА ОЧЕНЬ СРОЧНО КТО НИБУДЬ!!! 6.233 (б;Г). НАЙДИТЕ ОБЛАСТЬ ОПРЕДЕЛЕНИЯ ФУНКЦИИ!!
Приложения:

Ответы
Ответ дал:
0
Ответ:
б) y=√3x²-15x-2x+10=3x²-17x+10
a=3 b=-17 c=10
d=-17²-4*3*10=289-30*4=169
x1=-(-17) - √169/2а= 17-13/6=4/6=2/3
х2=-(-17) +√169/2а= 17+13/6=30/6= 5
nelyannnna:
какой класс и учебник?
Вас заинтересует
2 года назад
2 года назад
2 года назад
2 года назад
9 лет назад