• Предмет: Алгебра
  • Автор: vasilisaogneva2004
  • Вопрос задан 3 года назад

Помогите с алгеброй^_^

Приложения:

Ответы

Ответ дал: murodzon104
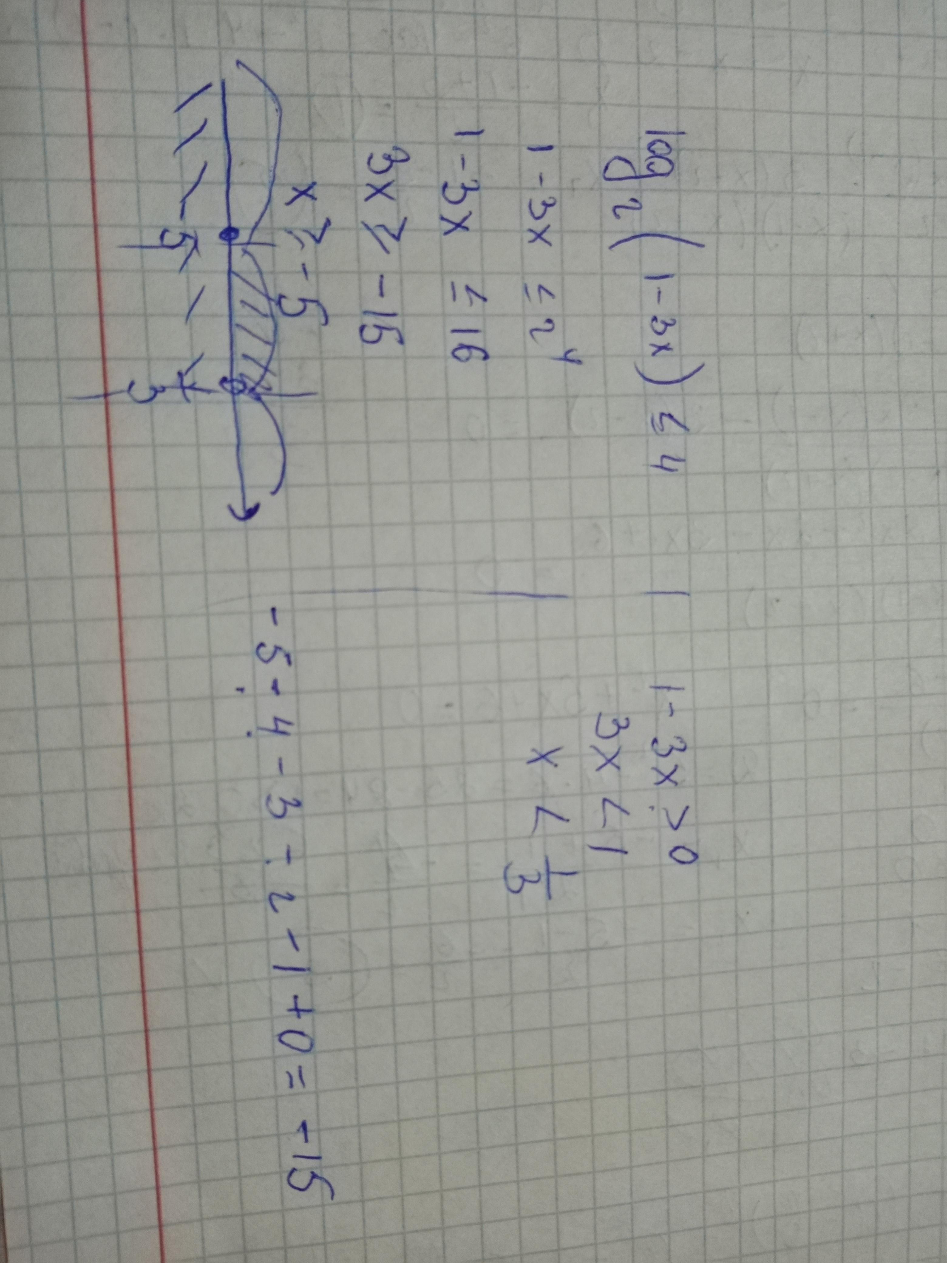
2

ответ: -15

Надеюсь, всё понятно.

Приложения:
Ответ дал: kjuliaaa333
1

Ответ:

Объяснение:

Лови фото

Приложения:
Вас заинтересует