• Предмет: Математика
  • Автор: stalkebuz
  • Вопрос задан 3 года назад

Хелпаните.
Задание 2

Какие из перечисленных объектов могут быть элементами призмы? Какими и чем – пояснить.

1) параллельные плоскости

2) отрезок

3) точка

4) четырехугольник

Задание 3.

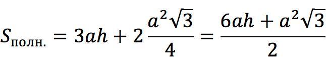
В правильной четырехугольной призме все ребра равны 2 м. Найти площадь боковой и полной поверхности призмы.

Приложения:

Ответы

Ответ дал: NoOne17
1

Ответ:

Задание 1

Решение

Все изображения можно разделить на две группы: призмы и многоугольники. Вспомним, что основанием призмы является многоугольник. Теперь необходимо посчитать количество вершин многоугольников в основаниях призм и сопоставить их с нужным изображением. Таким образом, получаем следующий ответ: 1 и 3, 2 и 4, 5 и 6.

Задание 2

Решение:

Вспомним сначала, какие элементы есть у призмы. Это ребра, грани, вершины, основания, высота, диагональ.

Ребра, высота и диагональ призмы представляют собой отрезок. Грани и основания – это многоугольники, то есть части плоскостей. Вершины – точки. Таким образом, подходят варианты 2, 3,4.

Ответ: 2,3,4

Задание 3

боковая поверхность Sбок. = 3ah

полная (фото)

Пошаговое объяснение:

Приложения:
Вас заинтересует