• Предмет: Алгебра
  • Автор: gtemir07
  • Вопрос задан 3 года назад

помогите пожалуйста
надо ещё решение
сократить надо​

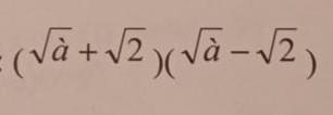
Приложения:

Ответы

Ответ дал: tetamotatetyamotya
1

Ответ:a-2

Объяснение:

a-2


gtemir07: можно решение?
tetamotatetyamotya: Это и есть решение.Смотрите если умножить корень из а на корень из а,то получим а,умножим корень из 2 на минус корень из двух,то получим -2,поэтому ответ а-2
Dedagenn: это формула сокращенного умножения, типа (х²-у²)=(х-у)(х+у)
Ответ дал: Dedagenn
1

Ответ:

сумма на разность -это разность квадратов, значит =(а-2) -ответ


gtemir07: а решение где?
Dedagenn: так я словами написал...
Вас заинтересует