30 баллов
ТОЖДЕСТВЕННЫЕ ПРЕОБРАЗОВАНИЯ ТРИГОНОМЕТРИЧЕСКИХ ВЫРАЖЕНИЙ.
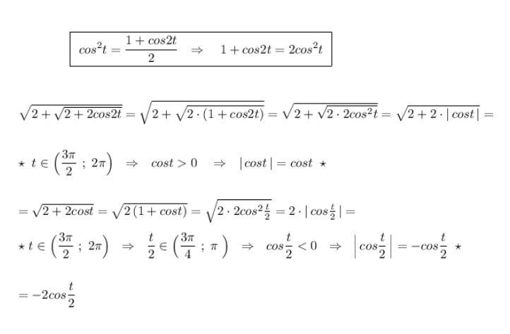
Упростите выражение
Приложения:

Ответы
Ответ дал:
0
.......................................................................................................................................
Приложения:

Вас заинтересует
2 года назад
2 года назад
2 года назад
2 года назад
8 лет назад
8 лет назад
9 лет назад