• Предмет: Химия
  • Автор: vikori2005
  • Вопрос задан 3 года назад

СРОЧНО!!!!!!ПОМОГИТЕ ПОЖАЛУЙСТА.
ДАМ 50БАЛОВ



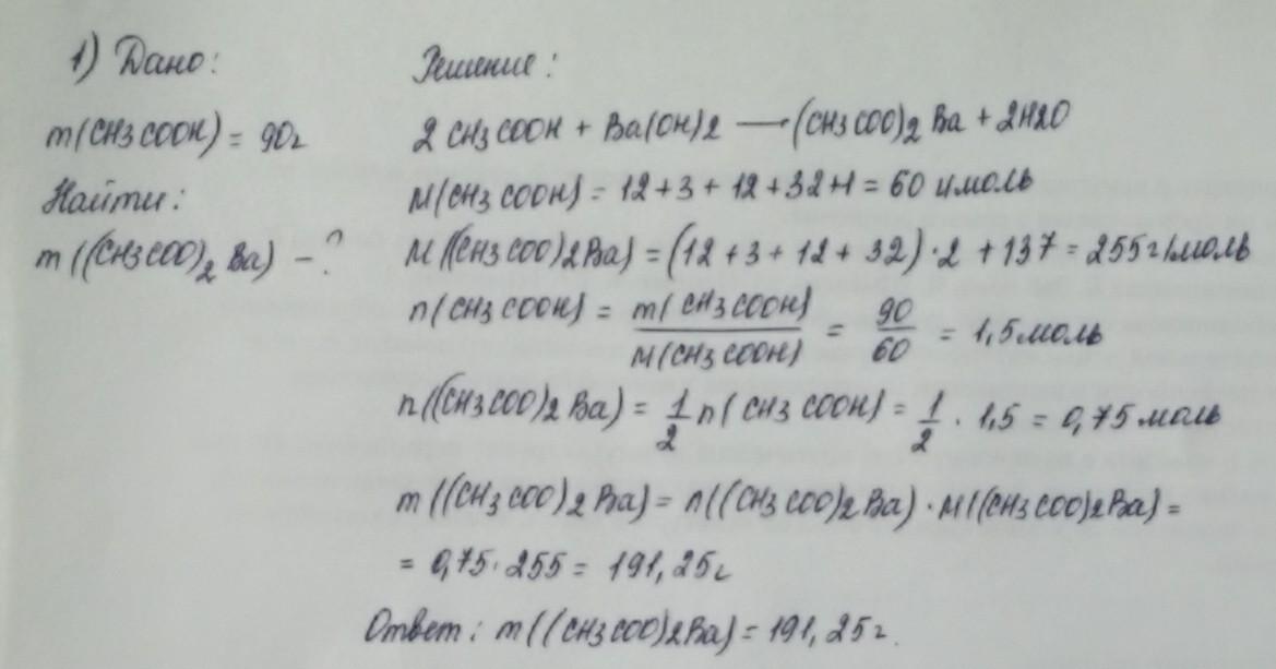
Етанова кислота масою 90 г прореагувала з барій гідроксидом. Зробіть необхідні обчислення й укажіть масу (у грамах) солі, що утворилась.

Ответы

Ответ дал: gavgav3445
1

Ответ:

Решение прикреплено. Надеюсь, что всё понятно.

Приложения:
Вас заинтересует