• Предмет: Геометрия
  • Автор: Semenenko090906
  • Вопрос задан 3 года назад

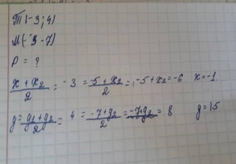
1. Точка Т- середина отрезка MP. Найдите координаты точки M, если T(4; — 2) и
PC -4; 6).​

Ответы

Ответ дал: aizatatabekova9
3

Ответ:

Ответ:Р=(-1; 15)

Обьснение:

Приложения:
Вас заинтересует