• Предмет: Математика
  • Автор: bbvggcc7
  • Вопрос задан 3 года назад

даю 24 балла, решите
плиз ​

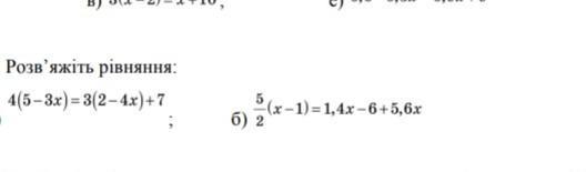
Приложения:

HolySlipper808: в начале есть 4
HolySlipper808: 2)Умнож обе части перенести неизвестную левую часть сменить ее знак Перенести слагаемое в другую часть уравнения привести подобные члены разделить обе стороны 1) не является не верным могу сделать только есть убрать 4

Ответы

Ответ дал: Аноним
2

Ответ:

а)

4(5 - 3x) = 3(2 - 4x) + 7 \\ 20 - 12x = 6 - 12x + 7 \\ 20 = 6  + 7 \\ 20 = 13

утверждение ложно

б)

Пошаговое объяснение:

2.5(x  - 1) = 1.4x - 6 + 5.6x \\ 2.5x - 2.5 = 7x - 6 \\ 2.5x - 7x =  - 6 + 2.5 \\  - 4.5x =  - 3.5 \\ x =  - 3.5 \div  - 4.5 \\ x =  \frac{7}{9}


bbvggcc7: спасибо)
Вас заинтересует