• Предмет: Алгебра
  • Автор: kostukleha2
  • Вопрос задан 3 года назад

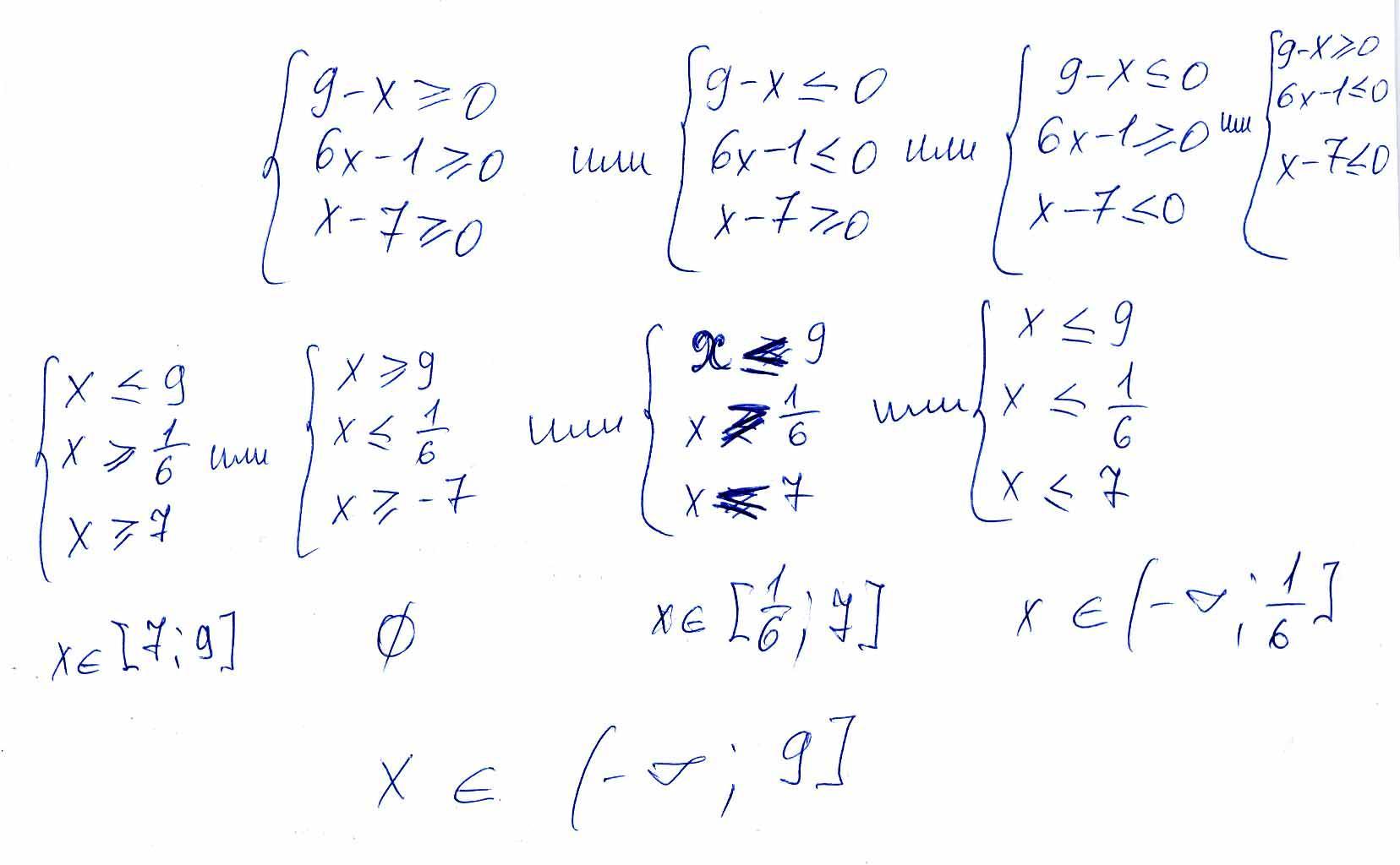
решите неравенство: (9-x)(6x-1)(x-7)≥0​

Ответы

Ответ дал: 55555555552187
0

Ответ:

см ниже

Объяснение:

в приложении

Приложения:
Вас заинтересует