ПОМОГИТЕ ПОЖАЛУЙСТА С МАТЕМАТИКОЙ ДАЮ 20 БАЛЛОВ!
Приложения:



qxwrtykk:
Если будете спамить и т.д удалю ваш акк.
Ответы
Ответ дал:
0
Ответ:
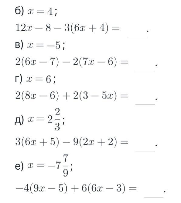
ПЕРВОЕ ФОТО!!!!!! Примеры такого типа: 15х+7-4х =___;
б) 11х+7
в) -3х+18 или же 18-3х ( обычно "х" ставят впереди по уменьшению пример: х²-х+6)
г) -11х+21
д) -8
е)7
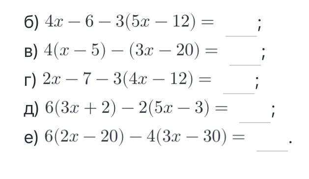
ВТОРОЕ ФОТО!!!! Примеры такого типа: 4х-6-3(5х-12) =___;
б) 4х-6-15х+36=
30-11х
в) 4х-20-3х+20=
1х
г)2х-7-12х-36=
29-10х
д) 18х+12-10х+6=
8х+18
е)12х-120-12х+120=
0
Вас заинтересует
2 года назад
2 года назад
2 года назад
2 года назад
8 лет назад
9 лет назад