• Предмет: Алгебра
  • Автор: imargarita3728
  • Вопрос задан 3 года назад

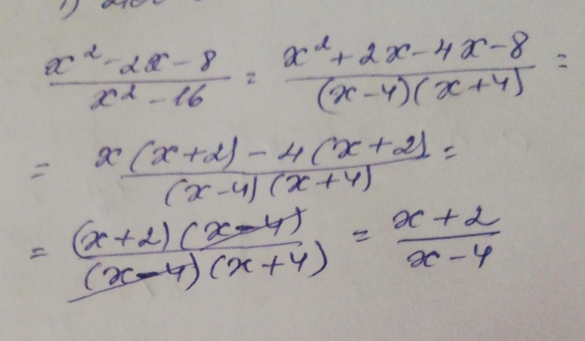
скоротіть дріб х²-2х-8/х²-16​

Ответы

Ответ дал: Аноним
0

Відповідь:

Пояснення: фото

Приложения:
Ответ дал: serovaksusa1
1

Ответ:

Смотри решение на фото

Приложения:
Вас заинтересует