• Предмет: Алгебра
  • Автор: IDarkmom
  • Вопрос задан 3 года назад

Повторение. Квадратный корень из степени, произведения
или дроби.

Приложения:

Ответы

Ответ дал: Zombynella
0

Ответ:

В решении.

Объяснение:

Нужно внести под корень квадрат первого сомножителя:

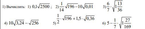
1) 0,1√2500 = √0,1²*2500 = √0,01*255 = √25 = 5;

2) 1/14√196 - 10√0,01 =

= √(1/14)*196 - √10²*0,01 =

= √196/196 - √100*0,01 =

= √1 - √1 = 1 - 1 = 0;

3) 6/7√1 и 13/36 =

= √(6/7)²*49/36 =

= √(36 * 49)/(49 * 36) =

= √1 = 1;

4) 10√3,24 - √256 =

= √324 - √256 =

= 18 - 16 = 2;

5) 1/2√196 + 1,5√0,36 =

= √0,5²*196 + √1,5²*0,36 =

= √0,25*196 + √2,25*0,36 =

= √49 + √0,81 =

= 7 + 0,9 = 7,9;

6) 5 - 1/7√1 и 27/169 =

= 5 - √1/49 * 196/169 =

= 5 - √4/169 =

= 5 - 2/13 = 4 и 11/13.

Вас заинтересует