Ответы
Ответ дал:
1
Ответ:
вот ответ вотттттт
Объяснение:
вот ответ.
Приложения:

yekaterinachech2007:
Спасибо, а Мона ещё, если не сложно?)
Ответ дал:
1
Ответ:
Объяснение:
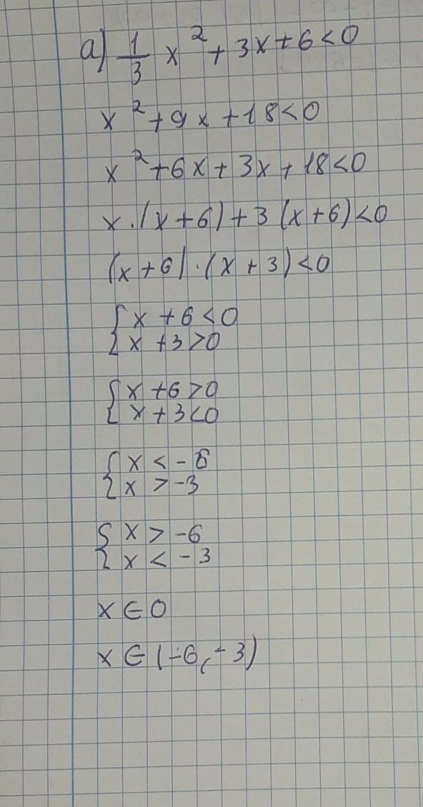
a)x²+9x+18<0
x²+6x+3x+18<0
x·(x+6)+3(x+6)<0
(x+6)·(x+3)<0
x ∈ ∅
x∈ (-6, -3)
Вас заинтересует
2 года назад
2 года назад
2 года назад
2 года назад
8 лет назад
9 лет назад