Ответы
Ответ дал:
1
Ответ:
Я думаю это правильный задачка
Приложения:

Lidagirl:
Не думаю
Ответ дал:
2
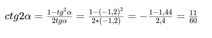
Ответ:
11\60
Объяснение:
ctg2a* tg2a=1
ctg2a= 1: tg2a=11\60
Вас заинтересует
2 года назад
2 года назад
2 года назад
8 лет назад