что означает слово "решение треугольника"? сформулируйте три основные задачи на решение треугольника и объясните как они решаются
Ответы
Ответ дал:
0
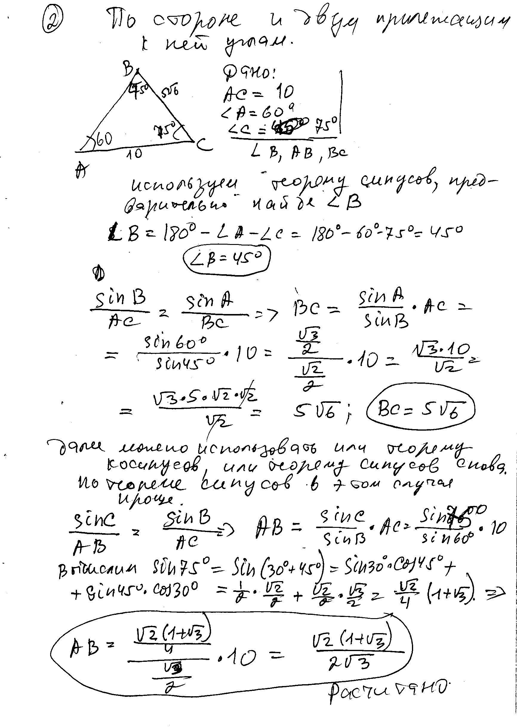
Все в скане.
что означает слово "решение треугольника"? сформулируйте три основные задачи на решение треугольника и объясните как они решаются
что означает слово "решение треугольника"? сформулируйте три основные задачи на решение треугольника и объясните как они решаются
Приложения:
Вас заинтересует
3 года назад
3 года назад
8 лет назад
8 лет назад
11 лет назад
11 лет назад