Ответы
Ответ дал:
1
Ответ:
решение на фотографиях
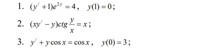
1 ДУ с разделяющимися переменными
2 Однородное ДУ
3 Линейное ДУ
Приложения:



Вас заинтересует
2 года назад
2 года назад
2 года назад
2 года назад
8 лет назад
9 лет назад