• Предмет: Математика
  • Автор: Аноним
  • Вопрос задан 3 года назад

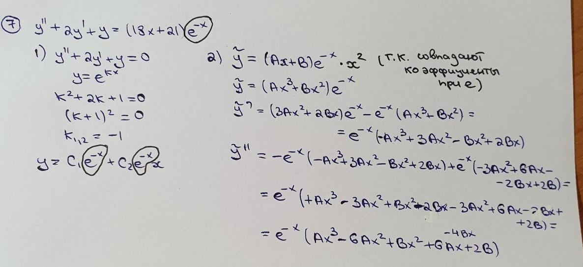
дифференциальные уравнения​

Приложения:

Ответы

Ответ дал: Miroslava227
1

Ответ:

решение на фотографиях

Это неоднородные линейные ДУ

Приложения:
Вас заинтересует