Ответы
Ответ дал:
1
Ответ:
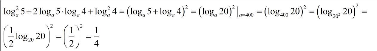
0,25
Объяснение:
\\\\\\\\\\\\\\\\\\
Приложения:

Вас заинтересует
2 года назад
2 года назад
9 лет назад
9 лет назад