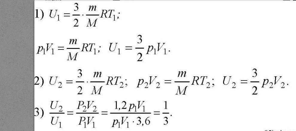
SOS SOS SOS SOS 4) При зменшенні об'єму одноатомного газу в 3,6 раза його тиск збільшився на 20%. У скільки разів змінилася внутрішня енергія?
Ответы
Ответ дал:
3
Ответ:
удачи,все на скринах
Объяснение:
Приложения:
Вас заинтересует
2 года назад
2 года назад
3 года назад
3 года назад
8 лет назад
8 лет назад
10 лет назад