• Предмет: Алгебра
  • Автор: ShotoKatsuki
  • Вопрос задан 3 года назад

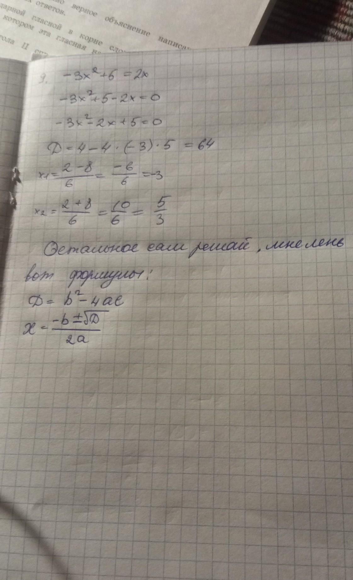
ПОМОГИТЕ ПЖ.В ДИСКРИМИНАНТ

Приложения:

Ответы

Ответ дал: cheburekli
1

Ответ:

4)

x²+8x+7=0

a=1 b=8 c=7

D= 64-4×1×7=64-28= 36

x1= -8 - 6/2 = -14/2 = -7

5) 3x²-3x+4= 0

a=3 b=-3 c=4

D= 9 - 4 × 3 ×4= 9 - 48= -39

D<0 нет решения

Приложения:
Вас заинтересует