Ответы
Ответ дал:
1
Ответ:
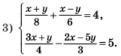
x=14, y=2
Объяснение:
Приложения:


Ответ дал:
2
Вас заинтересует
2 года назад
2 года назад
2 года назад
9 лет назад