Ответы
Ответ дал:
1
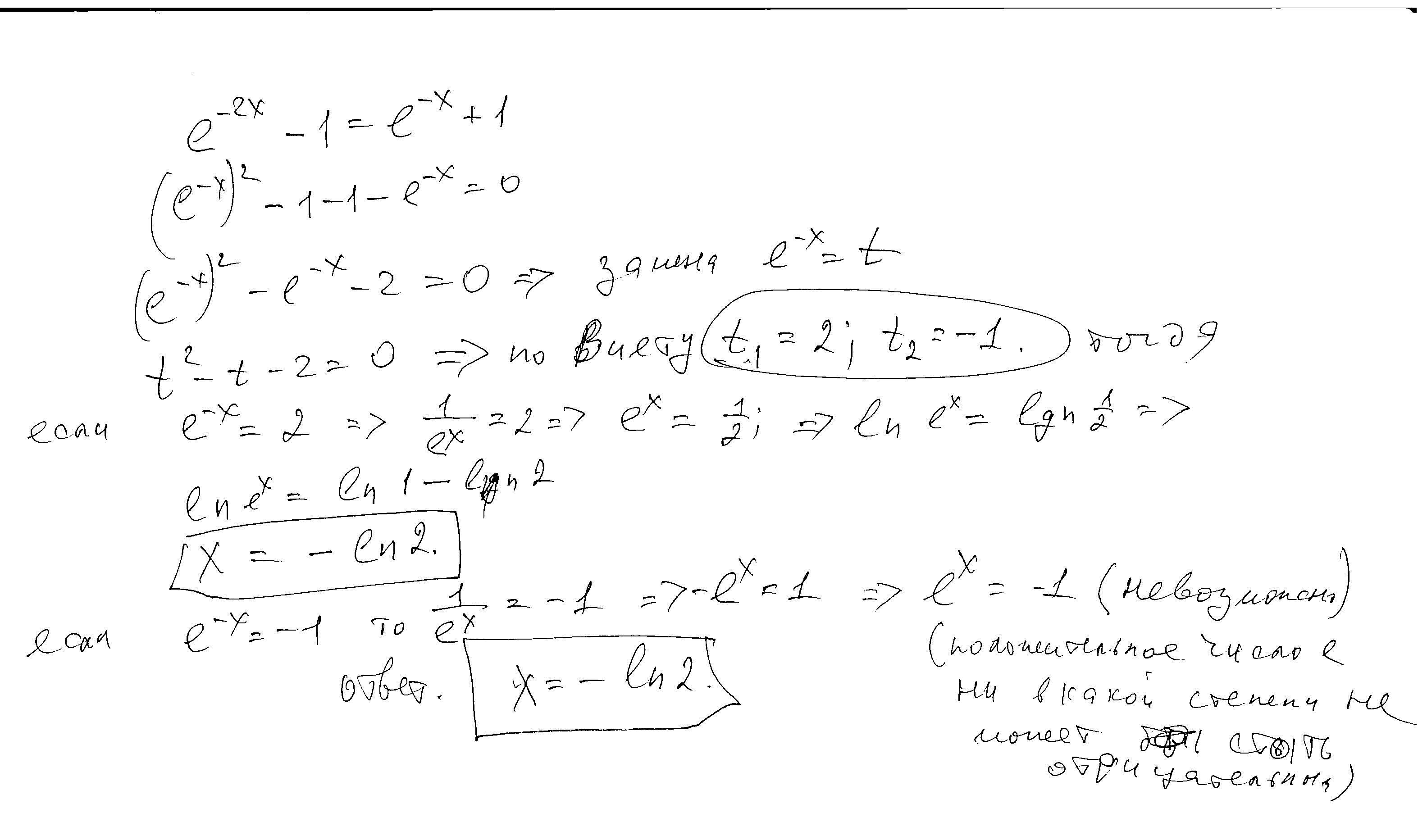
Ответ: х= -ln2
Объяснение:
Приложения:

Вас заинтересует
2 года назад
2 года назад
2 года назад
8 лет назад
8 лет назад