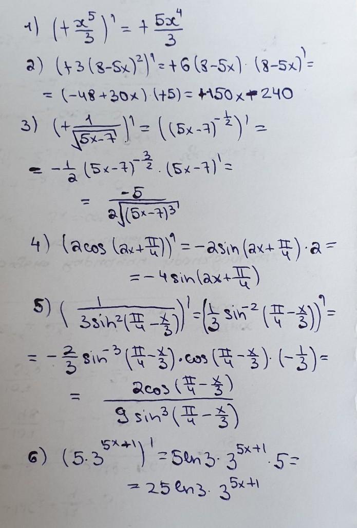
Знайти похідні :
1- x^5/3
2- 3*(8-5х)^2
3- 1/корень(5х-7)
4- 2cos(2x+ П/4)
5- 1/3sin^2(П/4-Х/3)
6- 5*3^5x+1
Аноним:
Спасите и сохраните просто к 11 нада здать
Ответы
Ответ дал:
1
Ответ:
решение на фотографии.
Приложения:

Вас заинтересует
2 года назад
2 года назад
8 лет назад
8 лет назад
9 лет назад