Ответы
Ответ дал:
1
Ответ:
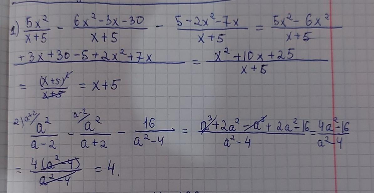
я решила первые две задачи ответ на фото
Приложения:

Аноним:
можете еще
Вас заинтересует
2 года назад
2 года назад
2 года назад
2 года назад
8 лет назад
9 лет назад