• Предмет: Алгебра
  • Автор: lyubomirsky
  • Вопрос задан 3 года назад

Помогите пожалуйста, надо очень​

Приложения:

Ответы

Ответ дал: Miroslava227
0

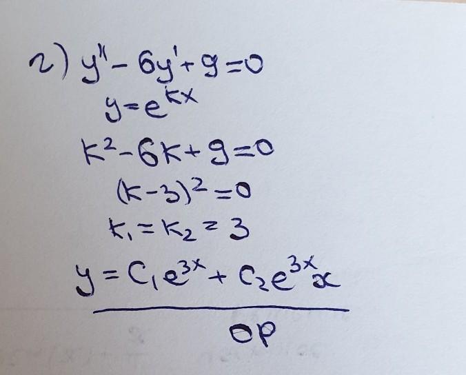
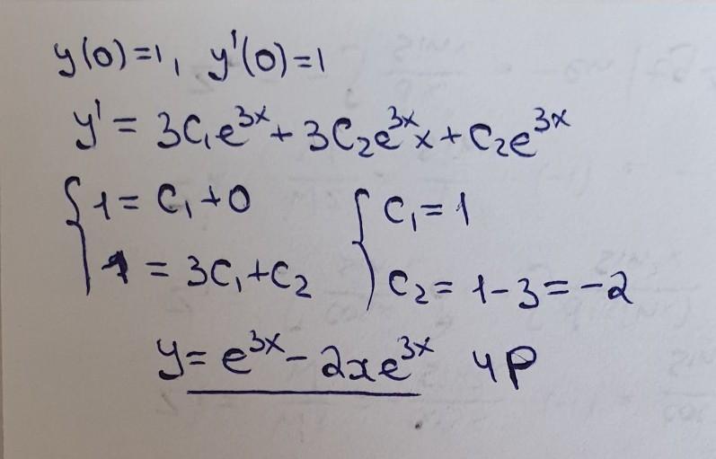
Ответ:

решение на фотографиях

Приложения:
Вас заинтересует