• Предмет: Алгебра
  • Автор: Master199856
  • Вопрос задан 3 года назад

дана функция y(x) =2x-9. найдите y(a+1)-y(a) ​​

Ответы

Ответ дал: azatidayt
4

Ответ:

Объяснение:y(a+1) = 2(a+1) - 9

y(a) = 2(a) -9;

y(a+1) - y(a) = 2a+2-9-2a+9 = 2(наша любимая оценка)

Ответ дал: NNNLLL54
1

Ответ:

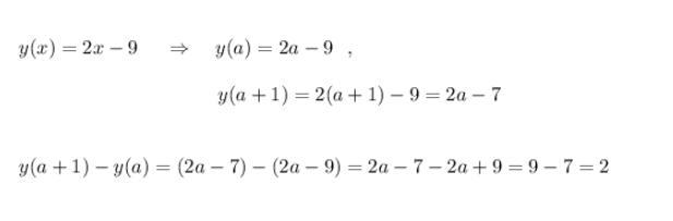
y(x)=2x-9\ \ \ \ \Rightarrow \ \ \ y(a)=2a-9\ \ ,\\\\{}\qquad \qquad \qquad \qquad \qquad y(a+1)=2(a+1)-9=2a-7\\\\\\y(a+1)-y(a)=(2a-7)-(2a-9)=2a-7-2a+9=9-7=2

Приложения:

Master199856: не видно
Master199856: напиши ответ сюда просто
Master199856: мне просто ответ нужен только
Master199856: пожалуйста
Master199856: напиши сюда
Master199856: а всë
Master199856: не нужно
NNNLLL54: скрин сделала
Вас заинтересует