Ответы
Ответ дал:
1
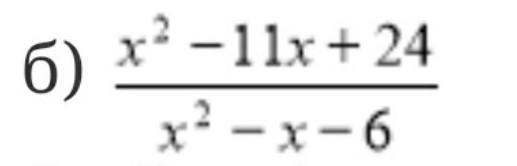
Ответ: x-8
------
x+2
Объяснение:
Приложения:

Ответ дал:
1
Ответ:
все правильно сделала
Приложения:

Вас заинтересует
2 года назад
2 года назад
2 года назад
2 года назад
8 лет назад
9 лет назад