Площадь фигуры, ограниченной линиями и осью Ох. К задаче сделать
чертеж
y = x, x= 1, x=2, y = 0
у=х,х= 2, x=3, y = 0
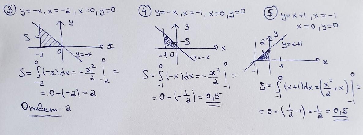
у = -х, х=-2, х= 0, y = 0
у = -х,х= -1, х = 0, y = 0
у = х + 1,x=-1,x= 0, y = 0
Ответы
Ответ дал:
2
Ответ:
решение на фотографиях
Приложения:


Вас заинтересует
2 года назад
2 года назад
2 года назад
2 года назад
8 лет назад
9 лет назад